Energia mecânica e suas aplicações


O que é energia mecânica?
A energia mecânica é um conceito importante na física, especialmente na dinâmica e na conservação de energia. Em sistemas conservativos, onde não há perda de energia devido a forças não conservativas como o atrito, a energia mecânica total permanece constante.
Princípio da conservação da energia mecânica
Para entendermos melhor o princípio da conservação da energia mecânica introduzido acima, é preciso compreender que esse conceito afirma que, na ausência de forças não conservativas, a energia mecânica de um corpo permanece constante. Isso significa que a energia pode se transformar entre energia cinética e potencial, mas o valor total da energia mecânica não muda.
A fórmula desse princípio é:
Em = Ec + Ep = constante.
- Em: energia mecânica;
- Ec: energia cinética;
- Ep: energia potencial.
Quais são as formas da energia mecânica?
Energia mecânica é a energia associada ao movimento e à posição de um objeto. Ela é a soma de duas formas de energia: a energia cinética e a energia potencial.
Veja mais detalhes a seguir:
- Energia Cinética (EC): é a energia que um objeto possui devido ao seu movimento. Depende da massa do objeto e da velocidade com a qual ele se move.
- Energia Potencial (EP): é a energia armazenada em um objeto devido à sua posição ou condição.
Cada uma dessas formas pode ser subdividida em tipos específicos de energia, dependendo das características do sistema em questão.
A subdivisão é a seguinte:
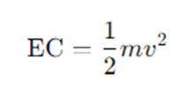
- Energia Cinética Translacional: associada ao movimento de um objeto que se desloca de um ponto a outro no espaço. A fórmula é:

onde m é a massa do objeto e v é a sua velocidade.
- Energia Cinética Rotacional: associada ao movimento de rotação de um objeto em torno de um eixo. A fórmula é:

onde I é o momento de inércia do objeto e ω é a velocidade angular.
- Energia Potencial Gravitacional: relacionada à posição de um objeto em um campo gravitacional, como a altura em relação ao solo. A fórmula é:

onde m é a massa do objeto, g é a aceleração devido à gravidade, e h é a altura do objeto em relação a um ponto de referência.
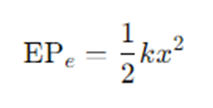
- Energia Potencial Elástica: associada à deformação de um objeto elástico, como uma mola ou uma banda elástica. A fórmula é:

onde k é a constante elástica da mola (uma medida de sua rigidez) e x é a deformação (compressão ou alongamento) da mola.
Essas duas formas principais de energia mecânica podem se transformar uma na outra. Por exemplo, em um pêndulo em movimento, a energia potencial gravitacional se converte em energia cinética à medida que o pêndulo desce, e vice-versa à medida que ele sobe.
A soma das energias cinética e potencial em um sistema é a energia mecânica total do sistema, que, em sistemas conservativos (onde não há perda de energia devido a forças dissipativas como atrito), permanece constante ao longo do tempo.
Quais são as fontes da energia mecânica?
A energia mecânica pode ser gerada a partir de várias fontes de energia, incluindo energia química, elétrica, potencial (gravitacional e elástica), térmica e solar.
Veja, abaixo, como a energia mecânica é gerada a partir dessas diversas fontes.
Como a energia mecânica é gerada?
A energia mecânica pode ser gerada de diferentes formas, como:
- Combustão: em motores de combustão interna (como motores de carros), a energia química armazenada em combustíveis fósseis (como gasolina ou diesel) é convertida em energia térmica através da combustão. Esta energia térmica, por sua vez, é convertida em energia cinética, fazendo com que o motor funcione e mova o veículo.
- Metabolismo: nos seres vivos, a energia química dos alimentos é convertida em energia mecânica através de processos metabólicos, permitindo o movimento muscular.
- Motores elétricos: motores elétricos convertem energia elétrica em energia mecânica. Quando uma corrente elétrica passa pelas bobinas do motor, um campo magnético é gerado, fazendo com que o motor gire e realize trabalho mecânico.
- Quedas d'água: em usinas hidrelétricas, a energia potencial gravitacional da água armazenada em uma represa é convertida em energia cinética à medida que a água cai. Esta energia cinética é então convertida em energia elétrica através de turbinas e geradores.
- Pêndulos: em sistemas como relógios de pêndulo, a energia potencial gravitacional do pêndulo é convertida em energia cinética à medida que ele oscila.
- Molas: quando uma mola é comprimida ou esticada, ela armazena energia potencial elástica. Ao ser liberada, essa energia é convertida em energia cinética, fazendo com que a mola se mova.
- Arcos e flechas: a energia potencial elástica armazenada no arco tensionado é convertida em energia cinética quando a corda é solta, propulsionando a flecha.
- Máquinas a vapor: em máquinas a vapor, a energia térmica gerada pela queima de combustível aquece a água, produzindo vapor. Este vapor expande e move pistões ou turbinas, convertendo a energia térmica em energia mecânica.
- Motores de stirling: motores de Stirling utilizam a expansão e contração de gases a diferentes temperaturas para produzir movimento mecânico.
- Sistemas fotovoltaicos: em alguns casos, a energia solar pode ser utilizada para aquecer fluidos que, por sua vez, geram vapor para mover turbinas, convertendo energia solar em energia mecânica indiretamente.
Onde a energia mecânica é usada no cotidiano?
A energia mecânica é uma forma de energia que está presente em muitos aspectos do nosso cotidiano. Aqui estão alguns exemplos práticos que podem ser observados em várias situações do dia a dia:
- Dirigindo um carro: a energia química do combustível é convertida em energia mecânica pelo motor, permitindo que o carro se mova. A energia cinética do carro em movimento é um exemplo de energia mecânica.
- Frenagem: quando você freia, a energia cinética do carro é convertida em calor através do atrito entre as pastilhas de freio e os discos.
- Carrinhos de fricção: carrinhos que são puxados para trás e soltos convertem a energia potencial elástica armazenada na mola em energia cinética.
- Relógios de pêndulo: utilizam a energia potencial gravitacional para manter o pêndulo oscilando e movimentar os ponteiros.
- Relógios mecânicos: utilizam molas enroladas que armazenam energia potencial elástica e a liberam gradualmente para mover os ponteiros.
- Bicicletas ergométricas: ao pedalar, você converte energia química do seu corpo (através do metabolismo) em energia mecânica, movendo os pedais e o volante de inércia.
- Pesos e halteres: levantar pesos envolve converter energia química do corpo em energia potencial gravitacional.
- Ventiladores: convertem energia elétrica em energia mecânica, movendo as lâminas do ventilador para criar fluxo de ar.
- Montanhas-Russas: a energia potencial gravitacional é convertida em energia cinética enquanto os carrinhos descem, e vice-versa enquanto sobem.
Energia mecânica e sua importância em sistemas físicos e máquinas
A energia mecânica desempenha um papel crucial em sistemas físicos e máquinas, sendo fundamental para o funcionamento de inúmeros dispositivos e processos.
Ela é indispensável para o funcionamento eficiente de sistemas físicos e máquinas em praticamente todos os aspectos da vida moderna. Sua compreensão e aplicação são fundamentais para o desenvolvimento tecnológico, a eficiência energética e a sustentabilidade ambiental.
A energia mecânica é essencial para a conversão e transferência de energia entre diferentes formas. Por exemplo:
- Motores de Combustão Interna: Convertem a energia química do combustível em energia mecânica, que é usada para mover veículos.
- Geradores: Convertem energia mecânica em energia elétrica, como nas usinas hidrelétricas, onde a água em movimento gira turbinas que geram eletricidade.
Máquinas e dispositivos dependem da energia mecânica para realizar trabalho:
- Máquinas Industriais: Utilizam motores elétricos ou a combustão para realizar tarefas como corte, perfuração e montagem.
- Electrodomésticos: Equipamentos como ventiladores, liquidificadores e aspiradores de pó convertem energia elétrica em energia mecânica para funcionar.
A eficiência de muitas máquinas depende da conversão eficaz de energia mecânica:
- Veículos: A eficiência dos motores (como motores de combustão interna ou motores elétricos) em converter energia do combustível ou eletricidade em movimento afeta diretamente o consumo de energia e a sustentabilidade.
- Sistemas de Transmissão: Em veículos, máquinas industriais e robótica, a eficiência na transferência de energia mecânica através de engrenagens, correias e eixos é crucial para o desempenho geral.
Sistemas de energia renovável frequentemente dependem da conversão de energia mecânica:
- Turbinas Eólicas: Convertem a energia cinética do vento em energia mecânica, que é então convertida em eletricidade.
- Hidrelétricas: Aproveitam a energia potencial gravitacional da água armazenada em barragens, convertendo-a em energia cinética e, posteriormente, em energia elétrica.
Alguns sistemas de armazenamento de energia dependem da energia mecânica:
- Baterias de Volante de Inércia: Armazenam energia cinética em um volante de inércia em alta velocidade, que pode ser convertida de volta em energia elétrica conforme necessário.
- Sistemas de Bombeamento Hidráulico: Armazenam energia potencial gravitacional ao bombear água para um reservatório elevado durante períodos de baixa demanda de energia, liberando-a para gerar eletricidade durante picos de demanda.
A energia mecânica é vital na construção e na operação de infraestruturas:
- Equipamentos de Construção: Guindastes, escavadeiras e britadeiras dependem da energia mecânica para operar e realizar tarefas pesadas.
- Sistemas de Transporte: Elevadores e escadas rolantes utilizam motores elétricos para converter energia elétrica em energia mecânica, facilitando o movimento vertical em edifícios.
A energia mecânica é fundamental para a locomoção em seres vivos e máquinas:
- Corpos Humanos e Animais: Utilizam energia química dos alimentos para gerar energia mecânica através da contração muscular, permitindo movimento e atividade física.
- Robótica e Automação: Robôs industriais e dispositivos automatizados usam motores elétricos e hidráulicos para converter energia elétrica ou fluida em energia mecânica, realizando tarefas complexas com precisão.
O estudo da energia mecânica é central na física e engenharia:
- Educação: Conceitos de energia cinética, potencial e conservação de energia são fundamentais em currículos de física.
- Pesquisa: Inovações em materiais e tecnologias de conversão de energia frequentemente envolvem avanços na compreensão e aplicação de energia mecânica.

Quer saber quanto custa para instalar energia solar?

Ricardo Casarin
Repórter de economia e negócios, com passagens pela grande imprensa. Formado na Universidade de Metodista de São Paulo, possui experiência em mídia impressa e digital e na cobertura de diversos setores como petróleo e gás, energia, mineração, papel e celulose, automotivo, entre outros.